Корректный подбор электропривода упирается в его способность перемещать створку под реальными нагрузками. Нагрузки делятся на две группы:
- статическая — собственный вес створки;
- динамическая — ветер и снег.
Тип открывания определяет требуемое усилие на открытие и закрытие. Ниже приведены рабочие формулы, таблицы и примеры, которые позволяют выполнить расчёт без допущений.
Базовые формулы усилия
Вертикальные окна и фрамуги


Наклонные люки (мансардные окна)


Обозначения:
- W — масса створки, кг;
- Wp — ветровая нагрузка, кг;
- Sl — снеговая нагрузка, кг;
- S — величина хода/ширина открывания, мм;
- H — высота створки, мм (для поворотных окон берут ширину створки по направлению вращения).
ВНИМАНИЕ
В формулах массы используются как эквивалент силы. Для перевода в ньютоны применяют коэффициент 9,8 Н/кг.
Как посчитать вес створки
Вес складывается из массы стеклопакета и каркаса:

- Sc — суммарная толщина стекла, мм;
- Q — удельный вес стекла толщиной 1 мм, кг/м²·мм (в расчётах удобно принимать 2,5);
- S — площадь створки, м²;
- Wk — масса каркаса, кг.
ВНИМАНИЕ
Каркас способен «съесть» запас по приводу. Инженер добавляет его массу отдельно, не закладывает «на глаз».
Ветровая нагрузка: параметры и формула
Среднюю расчётную составляющую ветровой нагрузки на высоте Hi определяют по формуле:

- W0 — расчетное ветровое давление, его можно определить по карте приложения в «Изменениях к СНиП 2.01.07-85» (см. Рисунок №1);
- k(Hi) — коэффициент высоты;
- c — аэродинамический коэффициент (п 6.6 СНиП 2.01.07-85).

Рисунок №1: Районирование территории России по расчетному значению давления ветра
Таблица 1. Коэффициент k(Hi) для типов местности
|
Высота, м |
A |
B |
C |
|
до 5 |
0,75 |
0,5 |
0,4 |
|
10 |
1 |
0,65 |
0,4 |
|
20 |
1,25 |
0,85 |
0,55 |
|
40 |
1,5 |
1,1 |
0,8 |
|
60 |
1,7 |
1,3 |
1 |
|
80 |
1,85 |
1,45 |
1,15 |
|
100 |
2 |
1,6 |
1,25 |
|
150 |
2,25 |
1,9 |
1,55 |
|
200 |
2,45 |
2,1 |
1,8 |
|
250 |
2,65 |
2,3 |
2 |
|
300 |
2,75 |
2,5 |
2,2 |
Типы местности:
A — открытая территория: побережье, степь, тундра.
B — города, лесные зоны и площадки с препятствиями выше 10 м.
C — плотная городская застройка со зданиями выше 25 м.
ВНИМАНИЕ
Неверный выбор типа местности меняет результат в разы. Проектировщик принимает тип по наиболее неблагоприятным условиям окружающей застройки.
Снеговая нагрузка
Снеговую нагрузку SlS_lSl, которую учитывают при расчёте усилия привода, определяют по нормативу СНиП 2.01.07-85 «Нагрузки и воздействия», используя также карты, приложенные к «Изменениям к СНиП 2.01.07-85». На «Рис. 2» приведены значения для расчёта по второй группе предельных состояний — в них уже заложен коэффициент 0,7. «Таблица 2» содержит снеговые нагрузки для обеих групп предельных состояний; по этой таблице выбирают исходные значения по району и подставляют SlS_lSl в формулы расчёта усилия.
ВНИМАНИЕ
Значения на «Рис. 2» уже учли коэффициент 0,7 для второй группы предельных состояний — повторно его не применяют.

Рисунок №2: Районирование территории России по расчетному значению веса снегового покрова
Таблица 2. Вес снегового покрова Sg на 1 м² горизонтали
|
Снеговой район |
1 |
2 |
3 |
4 |
5 |
6 |
7 |
8 |
|
Sg, кПа (кг/м²) |
0,80 / 0,56 (80 / 56) |
1,20 / 0,84 (120 / 84) |
1,80 / 1,26 (180 / 126) |
2,40 / 1,68 (240 / 168) |
3,20 / 2,24 (320 / 224) |
4,00 / 2,80 (400 / 280) |
4,80 / 3,36 (480 / 336) |
5,60 / 3,92 (560 / 392) |
Зависимость от угла
- Угол ската ≥60° — снег не удерживается: μ=0
- Угол ≤30°— снег удерживается полностью: μ=1
- В промежутке применяют линейную интерполяцию: 40° → μ ≈ 0,66; 45° → μ = 0,5; 50° → μ ≈ 0,33

Формулы:
- На прочность (1-е предельное состояние):
- На деформации (2-е предельное состояние):

ВНИМАНИЕ
Коэффициент μ рассчитывают для каждого ската отдельно. Усреднение по кровле занижает нагрузку на «тяжёлых» проёмах.
Пояснение терминов — коротко и по делу
- Усилие привода F — сила, которую выдаёт привод для перемещения створки.
- Масса створки W — суммарный вес стеклопакета и каркаса.
- Ветровая составляющая Wp — эквивалент массы давления ветра на створку.
- Снеговая составляющая Sl — эквивалент массы снега на наклонной плоскости.
- Ход/рычаг S и размер H — геометрия, влияющая на плечо сил.
Примеры расчёта с переводом в ньютоны
Наклонный люк (мансарда)
- Габарит: 800 × 1200 мм;
- Район: 3-й снеговой, Sg=180 кг/м²;
- Угол: 30°→ μ=1;
- Масса створки: W=45 кг.
Снег:

Требуемое усилие:

Вывод: подходит штоковый привод номиналом не менее 1000 Н или связка реечных приводов от 1500 Н.
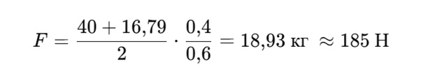
Вертикальная фрамуга
- Габарит: 1200 × 600 мм;
- Район: 3-й ветровой, W0=53 кг/м²;
- Высота установки: ≈15 м → k(20 м)=0,55k;
- Параметры: S=400 мм, H=600 мм;
- Масса створки: W=40 кг.
Ветер:

Требуемое усилие:

Вывод: достаточно цепного привода от 190 Н; для закрытия учёт ветровой составляющей обязателен.
Практические рекомендации по запасу и компоновке
- Проектировщик закладывает запас по усилию не ниже 25–30% — привод сохраняет ресурс при пиковых порывах.
- При широких створках используют синхронную работу двух приводов — так сокращают перекос и нагрузку на петли.
- Ход привода согласуют с кинематикой фурнитуры — избыточный ход упирается в ограничители и перегружает редуктор.
- В спецификации указывают усилие в ньютонах — производитель задаёт номиналы именно в Н, а не в кгс.
ВНИМАНИЕ
Итог сравнивают с паспортными кривыми усилие/ход выбранной модели. Расчёт «впритык» приводит к ускоренному износу и срабатыванию защиты по перегрузке.
Инженер последовательно считает массу створки, добавляет ветровую или снеговую составляющую, переводит результат в ньютоны и подбирает привод с необходимым запасом. Такой порядок гарантирует предсказуемую работу оконных систем и стабильный ресурс привода в реальной эксплуатации.

